2585.Acyclic Organic Compounds

Time Limit: 1s Memory Limit: 256MB

You are given a tree T with n vertices (numbered 1 through n) and a letter in each vertex. The tree is rooted at vertex 1.Let's look at the subtree Tv of some vertex v. It is possible to read a string along each simple path starting at v and ending at some vertex in Tv (possibly v itself). Let's denote the number of distinct strings which can be read this way as 2585_1.png. Also, there's a number cv assigned to each vertex v. We are interested in vertices with the maximum value of 2585_2.png.You should compute two statistics: the maximum value of 2585_2.png and the number of vertices v with the maximum 2585_2.png.

Input Format(From the terminal/stdin)

Input The first line of the input contains one integer n (1 \le n \le 300000)- the number of vertices of the tree.The second line contains n space-separated integers ci (0 \le ci \le 109).The third line contains a string s consisting of n lowercase English letters- the i-th character of this string is the letter in vertex i.The following n-1 lines describe the tree T. Each of them contains two space-separated integers u and v (1 \le u,v \le n) indicating an edge between vertices u and v.It's guaranteed that the input will describe a tree.

Output Format(To the terminal/stdout)

Output Print two lines. On the first line, print 2585_3.png over all 1 \le i \le n. On the second line, print the number of vertices v for which 2585_4.png.

Sample Input 1

Copy
10
1 2 7 20 20 30 40 50 50 50
cacabbcddd
1 2
6 8
7 2
6 2
5 4
5 9
3 10
2 5
2 3
  \n
 · · ·  ·  ·  ·  ·  ·  ·  \n
          \n
 · \n
 · \n
 · \n
 · \n
 · \n
 · \n
 ·  \n
 · \n
 · \n

Sample Output 1

Copy
51
3
  \n
 \n

Sample Input 2

Copy
6
0 2 4 1 1 1
raaaba
1 2
2 3
2 4
2 5
3 6
 \n
 · · · · · \n
      \n
 · \n
 · \n
 · \n
 · \n
 · \n

Sample Output 2

Copy
6
2
 \n
 \n

Hints

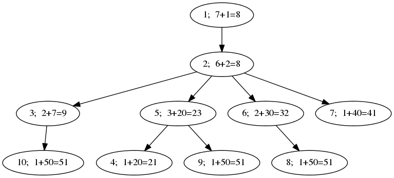
In the first sample, the tree looks like this: 2585_5.png The sets of strings that can be read from individual vertices are: 2585_6.png Finally, the values of 2585_7.png are: 2585_8.png In the second sample, the values of 2585_9.png are (5,4,2,1,1,1). The distinct strings read in T2 are 2585_10.png; note that 2585_11.png can be read down to vertices 3 or 4.

Submit

请先 登录

© 2026 FAQs