An oriented weighted forest is an acyclic weighted digraph in which from each vertex at most one edge goes.
The root of vertex v of an oriented weighted forest is a vertex from which no edge goes and which can be reached from vertex v moving along the edges of the weighted oriented forest. We denote the root of vertex v as root(v).
The depth of vertex v is the sum of weights of paths passing from the vertex v to its root. Let's denote the depth of the vertex v as depth(v).
Let's consider the process of constructing a weighted directed forest. Initially, the forest does not contain vertices. Vertices are added sequentially one by one. Overall, there are n performed operations of adding. The i-th (i \gt 0) adding operation is described by a set of numbers (k,v1,x1,v2,x2,... ,vk,xk) and means that we should add vertex number i and k edges to the graph: an edge from vertex root(v1) to vertex i with weight depth(v1)+x1, an edge from vertex root(v2) to vertex i with weight depth(v2)+x2 and so on. If k=0, then only vertex i is added to the graph, there are no added edges.
Your task is like this: given the operations of adding vertices, calculate the sum of the weights of all edges of the forest, resulting after the application of all defined operations, modulo 1000000007 (109+7).
The first line contains a single integer n (1 \le n \le 105) - the number of operations of adding a vertex.
Next n lines contain descriptions of the operations, the i-th line contains the description of the operation of adding the i-th vertex in the following format: the first number of a line is an integer k (0 \le k \le i-1), then follow 2k space-separated integers: v1,x1,v2,x2,... ,vk,xk (1 \le vj \le i-1,|xj| \le 109).
The operations are given in the order, in which they should be applied to the graph. It is guaranteed that sum k of all operations does not exceed 105, also that applying operations of adding vertexes does not result in loops and multiple edges.
Print a single number - the sum of weights of all edges of the resulting graph modulo 1000000007 (109+7).
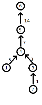
6 0 0 1 2 1 2 1 5 2 2 1 1 2 1 3 4\n \n \n · · \n · · · · \n · · \n · · \n
30\n
Conside the first sample:
Vertex 1 is added. k=0, thus no edges are added. Vertex 2 is added. k=0, thus no edges are added. Vertex 3 is added. k=1. v1=2, x1=1. Edge from vertex root(2)=2 to vertex 3 with weight depth(2)+x1=0+1=1 is added. Vertex 4 is added. k=2. v1=1, x1=5. Edge from vertex root(1)=1 to vertex 4 with weight depth(1)+x1=0+5=5 is added. v2=2, x2=2. Edge from vertex root(2)=3 to vertex 4 with weight depth(2)+x1=1+2=3 is added. Vertex 5 is added. k=1. v1=1, x1=2. Edge from vertex root(1)=4 to vertex 5 with weight depth(1)+x1=5+2=7 is added. Vertex 6 is added. k=1. v1=3, x1=4. Edge from vertex root(3)=5 to vertex 6 with weight depth(3)+x1=10+4=14 is added.
The resulting graph is shown on the pictore below: 